原諒轉載自:
http://www.cnblogs.com/skywang12345/p/3245399.html
紅黑樹(一) 原理和算法詳細介紹
作者:Sky Wang 于 2013-08-08
概述:R-B Tree,又稱為“紅黑樹”。本文參考了《算法導論》中紅黑樹相關知識,加之自己的理解,然后以圖文的形式對紅黑樹進行說明。本文的主要內容包括:紅黑樹的特性,紅黑樹的時間復雜度和它的證明,紅黑樹的左旋、右旋、插入、刪除等操作。
請尊重版權,轉載注明出處:http://www.cnblogs.com/skywang12345/p/3245399.html
1 R-B Tree簡介
R-B Tree,全稱是Red-Black Tree,又稱為“紅黑樹”,它一種特殊的二叉查找樹。紅黑樹的每個節點上都有存儲位表示節點的顏色,可以是紅(Red)或黑(Black)。
紅黑樹的特性:
(1)每個節點或者是黑色,或者是紅色。
(2)根節點是黑色。
(3)每個葉子節點(NIL)是黑色。 [注意:這里葉子節點,是指為空(NIL或NULL)的葉子節點!]
(4)如果一個節點是紅色的,則它的子節點必須是黑色的。
(5)從一個節點到該節點的子孫節點的所有路徑上包含相同數目的黑節點。
注意:
(01) 特性(3)中的葉子節點,是只為空(NIL或null)的節點。
(02) 特性(5),確保沒有一條路徑會比其他路徑長出倆倍。因而,紅黑樹是相對是接近平衡的二叉樹。
紅黑樹示意圖如下:

紅黑樹的應用:
紅黑樹的應用比較廣泛,主要是用它來存儲有序的數據,它的時間復雜度是O(lgn),效率非常之高。
例如,Java中的TreeSet和TreeMap,C++ STL中的set、map,以及Linux虛擬內存的管理,都是通過紅黑樹去實現的。
這里大致介紹下,紅黑樹和AVL樹的差異。AVL樹也是特殊的二叉樹,它的特性是“任何節點的左右子樹的高度之差不超過1”。基本上,用到紅黑樹的地方都可以用AVL樹(自平衡二叉查找樹)去替換。但是一般情況下,在執行添加、刪除節點時,AVL樹比紅黑樹執行的操作更多一些,效率更低一些;而且紅黑樹也是相對平衡的二叉樹(從一個節點到該節點的子孫節點的所有路徑上包含相同數目的黑節點)。因此,紅黑樹的效率會高更一點。
2 R-B Tree時間復雜度
紅黑樹的時間復雜度為: O(lgn)
下面通過“數學歸納法”對紅黑樹的時間復雜度進行證明。
定理:一棵含有n個節點的紅黑樹的高度至多為2log(n+1).
證明:
"一棵含有n個節點的紅黑樹的高度至多為2log(n+1)" 的逆否命題是 "高度為h的紅黑樹,它的包含的內節點個數至少為 2^{h/2}-1個"。
我們只需要證明逆否命題,即可證明原命題為真;即只需證明 "高度為h的紅黑樹,它的包含的內節點個數至少為 2^{h/2}-1個"。
從某個節點x出發(不包括該節點)到達一個葉節點的任意一條路徑上,黑色節點的個數稱為該節點的黑高度,記為bh(x)。
由紅黑樹的"特性(4)"可知 bh(x)>=h/2;進而,我們只需證明 "高度為h的紅黑樹,它的包含的內節點個數至少為 2^bh(x)-1個"即可。
到這里,我們將需要證明的定理已經由
"一棵含有n個節點的紅黑樹的高度至多為2log(n+1)"
轉變成只需要證明
"高度為h的紅黑樹,它的包含的內節點個數至少為 2^bh(x)-1個"。
下面通過"數學歸納法"開始論證高度為h的紅黑樹,它的包含的內節點個數至少為 2^bh(x)-1個"。
(01) 當樹的高度h=0時,
內節點個數是0,bh(x) 為0,2^bh(x)-1 也為 0。顯然,原命題成立。
(02) 當h>0,且樹的高度為 h-1 時,它包含的節點個數至少為 2^{bh(x)-1}-1。這個是根據(01)推斷出來的!
下面,由樹的高度為 h-1 的已知條件推出“樹的高度為 h 時,它所包含的節點樹為 2^bh(x)-1”。
當樹的高度為 h 時,
對于節點x(x為根節點),其黑高度為bh(x)。
對于節點x的左右子樹,它們黑高度為 bh(x) 或者 bh(x)-1。
根據(02)的已知條件,我們已知 "x的左右子樹,即高度為 h-1 的節點,它包含的節點至少為 2^{bh(x)-1}-1 個";
所以,節點x所包含的節點至少為 ( 2^{bh(x)-1}-1 ) + ( 2^{bh(x)-1}-1 ) + 1 = 2^{bh(x)-1}。即節點x所包含的節點至少為 2^{bh(x)-1} 。
因此,原命題成立。
由(01)、(02)得出,"高度為h的紅黑樹,它的包含的內節點個數至少為 2^bh(x)-1個"。
因此,“一棵含有n個節點的紅黑樹的高度至多為2log(n+1)”。
3 R-B Tree基本操作
R-B Tree的基本操作是添加、刪除。
添加和刪除操作,都會用到兩個基本的方法:左旋 和 右旋,統稱為旋轉。旋轉是為了保持紅黑樹的特性而提供的輔助方法,因為當我們進行添加、刪除節點時,可能改變紅黑樹的特性(例如,刪除一個黑色節點之后,就不滿足“從一個節點到該節點的子孫節點的所有路徑上包含相同數目的黑節點”這個特性);這里,我們就需要旋轉方法的輔助來讓樹保持紅黑樹的特性。
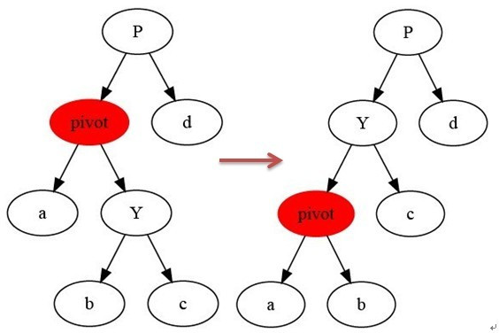
3.1 左旋

上面是《算法導論》中左旋的示意圖。
參考上面的示意圖和下面的偽代碼,理解“紅黑樹T的節點x進行左旋”是如何進行的。
LEFT-ROTATE(T, x)
01 y ← right[x] // 前提:這里假設x的右孩子為y。下面開始正式操作
02 right[x] ← left[y] // 將 “y的左孩子” 設為 “x的右孩子”,即 將β設為x的右孩子
03 p[left[y]] ← x // 將 “x” 設為 “y的左孩子的父親”,即 將β的父親設為x
04 p[y] ← p[x] // 將 “x的父親” 設為 “y的父親”
05 if p[x] = nil[T]
06 then root[T] ← y // 情況1:如果 “x的父親” 是空節點,則將y設為根節點
07 else if x = left[p[x]]
08 then left[p[x]] ← y // 情況2:如果 x是它父節點的左孩子,則將y設為“x的父節點的左孩子”
09 else right[p[x]] ← y // 情況3:(x是它父節點的右孩子) 將y設為“x的父節點的右孩子”
10 left[y] ← x // 將 “x” 設為 “y的左孩子”
11 p[x] ← y // 將 “x的父節點” 設為 “y”
理解上面的代碼之后,下面以一個更鮮明的圖對左旋轉進行說明。理解左旋之后,下面的推理應該非常簡單,這里就不過多說明。

3.2 右旋
右旋和左旋是相對的,原理類似。理解左旋后,右旋也很容易理解了。

上面是《算法導論》中右旋的示意圖。
參考上面的示意圖和下面的偽代碼,理解“紅黑樹T的節點y進行右旋”是如何進行的。
RIGHT-ROTATE(T, y)
01 x ← left[y] // 前提:這里假設y的左孩子為x。下面開始正式操作
02 left[y] ← right[x] // 將 “x的右孩子” 設為 “y的左孩子”,即 將β設為y的左孩子
03 p[right[x]] ← y // 將 “y” 設為 “x的右孩子的父親”,即 將β的父親設為y
04 p[x] ← p[y] // 將 “y的父親” 設為 “x的父親”
05 if p[y] = nil[T]
06 then root[T] ← x // 情況1:如果 “y的父親” 是空節點,則將x設為根節點
07 else if y = right[p[y]]
08 then right[p[y]] ← x // 情況2:如果 y是它父節點的右孩子,則將x設為“y的父節點的左孩子”
09 else left[p[y]] ← x // 情況3:(y是它父節點的左孩子) 將x設為“y的父節點的左孩子”
10 right[x] ← y // 將 “y” 設為 “x的右孩子”
11 p[y] ← x // 將 “y的父節點” 設為 “x”
理解上面的代碼之后,下面以一個更鮮明的圖對右旋轉進行說明。

旋轉總結:
(01) 左旋 和 右旋 是相對的兩個概念,原理類似。理解一個也就理解了另一個。
(02) 下面談談如何區分 左旋 和 右旋。
在實際應用中,若沒有徹底理解 左旋 和 右旋,可能會將它們混淆。下面談談我對如何區分 左旋 和 右旋 的理解。
3.3 區分 左旋 和 右旋
無論 左旋 或 右旋,它們都是以某一個節點為中心點。注意:這里,我們理解成以節點(節點x)進行旋轉,而不是以一個分支(分支xy軸 或 分支xz軸)進行旋轉!!!
我們以圖來進行說明。
左旋示例圖(以x為節點進行左旋):
z
x /
/ \ --(左旋)--> x
y z /
y
對x進行左旋,意味著,將“x的右孩子”設為“x的父親節點”;即,將 x變成了一個左節點(x成了為z的左孩子)!。 因此,左旋中的“左”,意味著“被旋轉的節點將變成一個左節點”。
右旋示例圖(以x為節點進行右旋):
y
x \
/ \ --(右旋)--> x
y z \
z
對x進行右旋,意味著,將“x的左孩子”設為“x的父親節點”;即,將 x變成了一個右節點(x成了為y的右孩子)! 因此,右旋中的“右”,意味著“被旋轉的節點將變成一個右節點”。
3.4 添加操作
向一顆含有n個節點的紅黑樹中插入一個節點,可以在時間O(lgn)內完成。
將節點z插入紅黑樹T內。需要執行的操作依次時:首先,將T當作一顆二叉樹,將z插入;然后,將z著色為紅色;最后,通過RB-INSERT-FIXUP來對節點重新著色并旋轉,以此來保證刪除節點后的樹仍然是一顆紅黑樹。
(01) 將T當作一顆二叉樹,將z插入。
因為紅黑樹本身就是一顆二叉樹,所以,我們可以根據二叉樹的性質將z插入。
(02) 將z著色為紅色。
在介紹為什么將則著色為紅色之前,我們重新溫習一下紅黑樹的特性:
(1)每個節點或者是黑色,或者是紅色。
(2)根節點是黑色。
(3)每個葉子節點(NIL)是黑色。 [注意:這里葉子節點,是指為空(NIL或NULL)的葉子節點!]
(4)如果一個節點是紅色的,則它的子節點必須是黑色的。
(5)從一個節點到該節點的子孫節點的所有路徑上包含相同數目的黑節點。
將插入的節點著色為紅色,不會違背“特性(5)”;而若將插入的節點著色為黑色,會違背該特性。
(03) 通過RB-INSERT-FIXUP來對節點重新著色并旋轉。
因為(02)中插入一個紅色節點之后,雖然沒有違背“特性(5)”,但是卻可能違背了其它特性(例如,若被插入節點的父節點也是紅色;插入后,則違背了“特性(4)”)。我們需要通過RB-INSERT-FIXUP進行節點顏色的調整以及旋轉等工作,讓樹仍然是一顆紅黑樹。
下面是《算法導論》中 “向紅黑樹T中插入節點z”的偽代碼
RB-INSERT(T, z)
01 y ← nil[T] // 新建節點“y”,將y設為空節點。
02 x ← root[T] // 設“紅黑樹T”的根節點為“x”
03 while x ≠ nil[T] // 找出要插入的節點“z”在二叉樹T中的位置“y”
04 do y ← x
05 if key[z] < key[x]
06 then x ← left[x]
07 else x ← right[x]
08 p[z] ← y // 設置 “z的父親” 為 “y”
09 if y = nil[T]
10 then root[T] ← z // 情況1:若y是空節點,則將z設為根
11 else if key[z] < key[y]
12 then left[y] ← z // 情況2:若“z所包含的值” < “y所包含的值”,則將z設為“y的左孩子”
13 else right[y] ← z // 情況3:(“z所包含的值” >= “y所包含的值”)將z設為“y的右孩子”
14 left[z] ← nil[T] // z的左孩子設為空
15 right[z] ← nil[T] // z的右孩子設為空。至此,已經完成將“節點z插入到二叉樹”中了。
16 color[z] ← RED // 將z著色為“紅色”
17 RB-INSERT-FIXUP(T, z) // 通過RB-INSERT-FIXUP對紅黑樹的節點進行顏色修改以及旋轉,讓樹T仍然是一顆紅黑樹
結合偽代碼以及為代碼上面的說明,先理解RB-INSERT。理解了RB-INSERT之后,我們接著對 RB-INSERT-FIXUP的偽代碼進行說明
RB-INSERT-FIXUP(T, z)
01 while color[p[z]] = RED // 若“當前節點(z)的父節點是紅色”,則進行以下處理。
02 do if p[z] = left[p[p[z]]] // 若“z的父節點”是“z的祖父節點的左孩子”,則進行以下處理。
03 then y ← right[p[p[z]]] // 將y設置為“z的叔叔節點(z的祖父節點的右孩子)”
04 if color[y] = RED // Case 1條件:叔叔是紅色
05 then color[p[z]] ← BLACK ▹ Case 1 // (01) 將“父節點”設為黑色。
06 color[y] ← BLACK ▹ Case 1 // (02) 將“叔叔節點”設為黑色。
07 color[p[p[z]]] ← RED ▹ Case 1 // (03) 將“祖父節點”設為“紅色”。
08 z ← p[p[z]] ▹ Case 1 // (04) 將“祖父節點”設為“當前節點”(紅色節點)
09 else if z = right[p[z]] // Case 2條件:叔叔是黑色,且當前節點是右孩子
10 then z ← p[z] ▹ Case 2 // (01) 將“父節點”作為“新的當前節點”。
11 LEFT-ROTATE(T, z) ▹ Case 2 // (02) 以“新的當前節點”為支點進行左旋。
12 color[p[z]] ← BLACK ▹ Case 3 // Case 3條件:叔叔是黑色,且當前節點是左孩子。(01) 將“父節點”設為“黑色”。
13 color[p[p[z]]] ← RED ▹ Case 3 // (02) 將“祖父節點”設為“紅色”。
14 RIGHT-ROTATE(T, p[p[z]]) ▹ Case 3 // (03) 以“祖父節點”為支點進行右旋。
15 else (same as then clause with "right" and "left" exchanged) // 若“z的父節點”是“z的祖父節點的右孩子”,將上面的操作中“right”和“left”交換位置,然后依次執行。
16 color[root[T]] ← BLACK
總的來說:當節點z被著色為紅色節點,并插入二叉樹時,有三種情況。
情況一:被插入的節點是根節點。
直接把此節點涂為黑色。
情況二:被插入的節點的父節點是黑色。
什么也不需要做。節點被插入后,仍然是紅黑樹。
情況三:被插入的節點的父節點是紅色。
那么,該情況與紅黑樹的“特性(5)”相沖突。情況三包含了“Case 1”、“Case 2” 和“Case 3”三種情況,情況三的目的是恢復紅黑樹的特性,它的處理思想是:將紅色的節點移到根節點;然后,將根節點設為黑色。下面介紹情況三的三種情況。
Case 1:叔叔是紅色
Case 1 現象說明:當前節點的父節點是紅色,且當前節點的祖父節點的另一個子節點(叔叔節點)也是紅色。
Case 1 處理策略:
(01) 將“父節點”設為黑色。
(02) 將“叔叔節點”設為黑色。
(03) 將“祖父節點”設為“紅色”。
(04) 將“祖父節點”設為“當前節點”(紅色節點);即,之后繼續對“當前節點”進行操作。
下面談談為什么要這樣處理。(建議理解的時候,通過下面的圖進行對比)
“當前節點”和“父節點”都是紅色,違背“特性(4)”。所以,將“父節點”設置“黑色”以解決這個問題。
但是,將“父節點”由“紅色”變成“黑色”之后,違背了“特性(5)”:因為,包含“父節點”的分支的黑色節點的總數增加了1。 解決這個問題的辦法是:將“祖父節點”由“黑色”變成紅色,同時,將“叔叔節點”由“紅色”變成“黑色”。關于這里,說明幾點:第一,為什么“祖父節點”之前是黑色?這個應該很容易想明白,因為在變換操作之前,該樹是紅黑樹,“父節點”是紅色,那么“祖父節點”一定是黑色。 第二,為什么將“祖父節點”由“黑色”變成紅色,同時,將“叔叔節點”由“紅色”變成“黑色”;能解決“包含‘父節點’的分支的黑色節點的總數增加了1”的問題。這個道理也很簡單。“包含‘父節點’的分支的黑色節點的總數增加了1” 同時也意味著 “包含‘祖父節點’的分支的黑色節點的總數增加了1”,既然這樣,我們通過將“祖父節點”由“黑色”變成“紅色”以解決“包含‘祖父節點’的分支的黑色節點的總數增加了1”的問題; 但是,這樣處理之后又會引起另一個問題“包含‘叔叔’節點的分支的黑色節點的總數減少了1”,現在我們已知“叔叔節點”是“紅色”,將“叔叔節點”設為“黑色”就能解決這個問題。 所以,將“祖父節點”由“黑色”變成紅色,同時,將“叔叔節點”由“紅色”變成“黑色”;就解決了該問題。
按照上面的步驟處理之后:當前節點、父節點、叔叔節點之間都不會違背紅黑樹特性,但祖父節點卻不一定。若此時,祖父節點是根節點,直接將祖父節點設為“黑色”,那就完全解決這個問題了;若祖父節點不是根節點,那我們需要將“祖父節點”設為“新的當前節點”,接著對“新的當前節點”進行分析。
Case 1 處理前[當前節點是4]:

Case 1 處理后:
Case 2:叔叔是黑色,且當前節點是右孩子
Case 2 現象說明:當前節點的父節點是紅色,叔叔節點是黑色,且當前節點是其父節點的右孩子
Case 2 處理策略:
(01) 將“父節點”作為“新的當前節點”。
(02) 以“新的當前節點”為支點進行左旋。
下面談談為什么要這樣處理。(建議理解的時候,通過下面的圖進行對比)
首先,將“父節點”作為“新的當前節點”;接著,以“新的當前節點”為支點進行左旋。 為了便于理解,我們先說明第(02)步,再說明第(01)步;為了便于說明,我們設置“父節點”的代號為F(Father),“當前節點”的代號為S(Son)。
為什么要“以F為支點進行左旋”呢?根據已知條件可知:S是F的右孩子。而之前我們說過,我們處理紅黑樹的核心思想:將紅色的節點移到根節點;然后,將根節點設為黑色。既然是“將紅色的節點移到根節點”,那就是說要不斷的將破壞紅黑樹特性的紅色節點上移(即向根方向移動)。 而S又是一個右孩子,因此,我們可以通過“左旋”來將S上移!
按照上面的步驟(以F為支點進行左旋)處理之后:若S變成了根節點,那么直接將其設為“黑色”,就完全解決問題了;若S不是根節點,那我們需要執行步驟(01),即“將F設為‘新的當前節點’”。那為什么不繼續以S為新的當前節點繼續處理,而需要以F為新的當前節點來進行處理呢?這是因為“左旋”之后,F變成了S的“子節點”,即S變成了F的父節點;而我們處理問題的時候,需要從下至上(由葉到根)方向進行處理;也就是說,必須先解決“孩子”的問題,再解決“父親”的問題;所以,我們執行步驟(01):將“父節點”作為“新的當前節點”。
Case 2 處理前[當前節點是7]:

Case 2處理后:
Case 3:叔叔是黑色,且當前節點是左孩子
Case 3:叔叔是黑色,且當前節點是左孩子
Case 3 現象說明:當前節點的父節點是紅色,叔叔節點是黑色,且當前節點是其父節點的左孩子
Case 3 處理策略:
(01) 將“父節點”設為“黑色”。
(02) 將“祖父節點”設為“紅色”。
(03) 以“祖父節點”為支點進行右旋。
下面談談為什么要這樣處理。(建議理解的時候,通過下面的圖進行對比)
為了便于說明,我們設置“當前節點”為S(Original Son),“兄弟節點”為B(Brother),“叔叔節點”為U(Uncle),“父節點”為F(Father),祖父節點為G(Grand-Father)。
S和F都是紅色,違背了紅黑樹的“特性(4)”,我們可以將F由“紅色”變為“黑色”,就解決了“違背‘特性(4)’”的問題;但卻引起了其它問題:違背特性(5),因為將F由紅色改為黑色之后,所有經過F的分支的黑色節點的個數增加了1。那我們如何解決“所有經過F的分支的黑色節點的個數增加了1”的問題呢? 我們可以通過“將G由黑色變成紅色”,同時“以G為支點進行右旋”來解決。
Case 3 處理前[當前節點是2]:

Case 3 處理后:
3.5 刪除操作
將紅黑樹T內的節點z刪除。需要執行的操作依次是:首先,將T當作一顆二叉樹,將節點刪除;然后,通過RB-DELETE-FIXUP來對節點重新著色并旋轉,以此來保證刪除節點后的樹仍然是一顆紅黑樹。
(01) 將T當作一顆二叉樹,將節點刪除。
這和"刪除常規二叉搜索樹中刪除節點的方法是一樣的"。分3種情況:
第一種,被刪除節點沒有兒子,即為葉節點。那么,直接將該節點刪除就OK了。
第二種,被刪除節點只有一個兒子。那么,直接刪除該節點,并用該節點的唯一子節點頂替它的位置。
第三種,被刪除節點有兩個兒子。那么,首先把“它的后繼節點的內容”復制給“該節點的內容”;之后,刪除“它的后繼節點”。
這里有兩點需要說明:第一步中復制時,僅僅復制內容,即將“它的后繼節點的內容”復制給“該節點的內容”。 這相當于用“該節點的后繼節點”取代“該節點”,之后就刪除“該節點的后繼節點”即可,而不需要刪除“該節點”(因為“該節點”已經被“它的后繼節點”所取代)。
第二步中刪除“該節點的后繼節點”時,需要注意:“該節點的后繼節點”不可能是雙子非空,這個根據二叉樹的特性可知。 既然“該節點的后繼節點”不可能雙子都非空,就意味著“該節點的后繼節點”要么沒有兒子,要么只有一個兒子。若沒有兒子,則按“第一種”種的辦法進行處理;若只有一個兒子,則按“第二種”中的辦法進行處理。
(02) 通過RB-DELETE-FIXUP來對節點重新著色并旋轉,以此來保證刪除節點后的樹仍然是一顆紅黑樹。
因為(01)中刪除節點之后,可能會違背紅黑樹的特性。所以需要,通過RB-DELETE-FIXUP來重新校正,為當前樹保持紅黑樹的特性。
下面是《算法導論》中 “從紅黑樹T中刪除節點z”的偽代碼
RB-DELETE(T, z)
01 if left[z] = nil[T] or right[z] = nil[T]
02 then y ← z // 若“z的左孩子” 或 “z的右孩子”為空,則將“z”賦值給 “y”;
03 else y ← TREE-SUCCESSOR(z) // 否則,將“z的后繼節點”賦值給 “y”。
04 if left[y] ≠ nil[T]
05 then x ← left[y] // 若“y的左孩子” 不為空,則將“y的左孩子” 賦值給 “x”;
06 else x ← right[y] // 否則,“y的右孩子” 賦值給 “x”。
07 p[x] ← p[y] // 將“y的父節點” 設置為 “x的父節點”
08 if p[y] = nil[T]
09 then root[T] ← x // 情況1:若“y的父節點” 為空,則設置“x” 為 “根節點”。
10 else if y = left[p[y]]
11 then left[p[y]] ← x // 情況2:若“y是它父節點的左孩子”,則設置“x” 為 “y的父節點的左孩子”
12 else right[p[y]] ← x // 情況3:若“y是它父節點的右孩子”,則設置“x” 為 “y的父節點的右孩子”
13 if y ≠ z
14 then key[z] ← key[y] // 若“y的值” 賦值給 “z”。注意:這里只拷貝z的值給y,而沒有拷貝z的顏色!!!
15 copy y's satellite data into z
16 if color[y] = BLACK
17 then RB-DELETE-FIXUP(T, x) // 若“y為黑節點”,則調用
18 return y
結合偽代碼以及為代碼上面的說明,先理解RB-DELETE。理解了RB-DELETE之后,接著對 RB-DELETE-FIXUP的偽代碼進行說明

RB-DELETE-FIXUP(T, x)
01 while x ≠ root[T] and color[x] = BLACK
02 do if x = left[p[x]]
03 then w ← right[p[x]] // 若 “x”是“它父節點的左孩子”,則設置 “w”為“x的叔叔”(即x為它父節點的右孩子)
04 if color[w] = RED // Case 1: x是“黑+黑”節點,x的兄弟節點是紅色。(此時x的父節點和x的兄弟節點的子節點都是黑節點)。
05 then color[w] ← BLACK ▹ Case 1 // (01) 將x的兄弟節點設為“黑色”。
06 color[p[x]] ← RED ▹ Case 1 // (02) 將x的父節點設為“紅色”。
07 LEFT-ROTATE(T, p[x]) ▹ Case 1 // (03) 對x的父節點進行左旋。
08 w ← right[p[x]] ▹ Case 1 // (04) 左旋后,重新設置x的兄弟節點。
09 if color[left[w]] = BLACK and color[right[w]] = BLACK // Case 2: x是“黑+黑”節點,x的兄弟節點是黑色,x的兄弟節點的兩個孩子都是黑色。
10 then color[w] ← RED ▹ Case 2 // (01) 將x的兄弟節點設為“紅色”。
11 x ← p[x] ▹ Case 2 // (02) 設置“x的父節點”為“新的x節點”。
12 else if color[right[w]] = BLACK // Case 3: x是“黑+黑”節點,x的兄弟節點是黑色;x的兄弟節點的左孩子是紅色,右孩子是黑色的。
13 then color[left[w]] ← BLACK ▹ Case 3 // (01) 將x兄弟節點的左孩子設為“黑色”。
14 color[w] ← RED ▹ Case 3 // (02) 將x兄弟節點設為“紅色”。
15 RIGHT-ROTATE(T, w) ▹ Case 3 // (03) 對x的兄弟節點進行右旋。
16 w ← right[p[x]] ▹ Case 3 // (04) 右旋后,重新設置x的兄弟節點。
17 color[w] ← color[p[x]] ▹ Case 4 // Case 4: x是“黑+黑”節點,x的兄弟節點是黑色;x的兄弟節點的右孩子是紅色的。(01) 將x父節點顏色 賦值給 x的兄弟節點。
18 color[p[x]] ← BLACK ▹ Case 4 // (02) 將x父節點設為“黑色”。
19 color[right[w]] ← BLACK ▹ Case 4 // (03) 將x兄弟節點的右子節設為“黑色”。
20 LEFT-ROTATE(T, p[x]) ▹ Case 4 // (04) 對x的父節點進行左旋。
21 x ← root[T] ▹ Case 4 // (05) 設置“x”為“根節點”。
22 else (same as then clause with "right" and "left" exchanged) // 若 “x”是“它父節點的右孩子”,將上面的操作中“right”和“left”交換位置,然后依次執行。
23 color[x] ← BLACK

在開始說明RB-DELETE-FIXUP之前,我們再次溫習一下紅黑樹的幾個特性:
(1)每個節點或者是黑色,或者是紅色。
(2)根節點是黑色。
(3)每個葉子節點(NIL)是黑色。 [注意:這里葉子節點,是指為空(NIL或NULL)的葉子節點!]
(4)如果一個節點是紅色的,則它的子節點必須是黑色的。
(5)從一個節點到該節點的子孫節點的所有路徑上包含相同數目的黑節點。
在RB-DELETE中,若被刪除的節點y是黑色的,則會產生三個問題。
問題一:如y是根節點,而刪除y后,它的紅色孩子成了新的根節點,則違反了“特性(2)”。
問題二:如x和“y的父節點”都是紅色,則違反了“特性(4)”。因為刪除y之后,“y的父節點”和“x”是父子關系。
問題三:刪除y,意味著刪除了一個黑色節點,那么“之前所有包含y的路徑上的黑節點總數減少了1”,這違反了“特性(5)”。
合計起來,違反了“特性(2)、(4)、(5)”三個特性。
RB-DELETE-FIXUP需要解決上面的三個問題,進而保持紅黑樹的全部特性。
為了便于分析,我們假設“x包含一個額外的黑色”(x原本的顏色還存在),這樣就不會違反“特性(5)”。為什么呢?
通過RB-DELETE算法,我們知道:刪除節點y之后,x占據了原來節點y的位置。 既然刪除y(y是黑色),意味著減少一個黑色節點;那么,再在該位置上增加一個黑色即可。這樣,當我們假設“x包含一個額外的黑色”,就正好彌補了“刪除y所丟失的黑色節點”,也就不會違反“特性(5)”。 因此,假設“x包含一個額外的黑色”(x原本的顏色還存在),這樣就不會違反“特性(5)”。
現在,x不僅包含它原本的顏色屬性,x還包含一個額外的黑色。即x的顏色屬性是“紅+黑”或“黑+黑”,它違反了“特性(1)”。
現在,我們面臨的問題,由解決“違反了特性(2)、(4)、(5)三個特性”轉換成了“解決違反特性(1)、(2)、(4)三個特性”。
RB-DELETE-FIXUP就是通過算法恢復紅黑樹的特性(1)、(2)、(4)。RB-DELETE-FIXUP的思想是:將x所包含的額外的黑色不斷沿樹上移(向根方向移動),直到:
(01) x指向一個“紅+黑”節點。此時,將x設為一個“黑”節點即可。
(02) x指向根。此時,將x設為一個“黑”節點即可。
(03) 做必要的旋轉和顏色修改。
將上面的思想,可以概括為3種情況。
情況一:x是“紅+黑”節點。
直接把x設為黑色,結束。此時紅黑樹性質全部恢復。
情況二:x是“黑+黑”節點,且x是根。
什么都不做,結束。此時紅黑樹性質全部恢復。
情況三:x是“黑+黑”節點,且x不是根。這又可以劃分了4種情況:Case 1、Case 2、Case 3、Case 4。
Case 1
Case 1 現象說明:x是“黑+黑”節點,x的兄弟節點是紅色。(此時x的父節點和x的兄弟節點的子節點都是黑節點)。
Case 1 處理策略:
(01) 將x的兄弟節點設為“黑色”。
(02) 將x的父節點設為“紅色”。
(03) 對x的父節點進行左旋。
(04) 左旋后,重新設置x的兄弟節點。
下面談談為什么要這樣處理。(建議理解的時候,通過下面的圖進行對比)
這樣做的目的是將“Case 1”轉換為“Case 2”、“Case 3”或“Case 4”,從而進行進一步的處理。對x的父節點進行左旋;左旋后,為了保持紅黑樹特性,就需要在左旋前“將x的兄弟節點設為黑色”,同時“將x的父節點設為紅色”;左旋后,由于x的兄弟節點發生了變化,需要更新x的兄弟節點,從而進行后續處理。
Case 1 處理前[當前節點是A]:

Case 1 處理后:
Case 2
Case 2 現象說明:x是“黑+黑”節點,x的兄弟節點是黑色,x的兄弟節點的兩個孩子都是黑色。
Case 2 處理策略:
(01) 將x的兄弟節點設為“紅色”。
(02) 設置“x的父節點”為“新的x節點”。
下面談談為什么要這樣處理。(建議理解的時候,通過下面的圖進行對比)
這個情況的處理思想:是將“x中多余的一個黑色屬性上移(往根方向移動)”。 x是“黑+黑”節點,我們將x由“黑+黑”節點 變成 “黑”節點,多余的一個“黑”屬性移到x的父節點中,即x的父節點多出了一個黑屬性(若x的父節點原先是“黑”,則此時變成了“黑+黑”;若x的父節點原先時“紅”,則此時變成了“紅+黑”)。 此時,需要注意的是:所有經過x的分支中黑節點個數沒變化;但是,所有經過x的兄弟節點的分支中黑色節點的個數增加了1(因為x的父節點多了一個黑色屬性)!為了解決這個問題,我們需要將“所有經過x的兄弟節點的分支中黑色節點的個數減1”即可,那么就可以通過“將x的兄弟節點由黑色變成紅色”來實現。
經過上面的步驟(將x的兄弟節點設為紅色),多余的一個顏色屬性(黑色)已經跑到x的父節點中。我們需要將x的父節點設為“新的x節點”進行處理。若“新的x節點”是“黑+紅”,直接將“新的x節點”設為黑色,即可完全解決該問題;若“新的x節點”是“黑+黑”,則需要對“新的x節點”進行進一步處理。
Case 2 處理前[當前節點是A]:

Case 2 處理后:
Case 3
Case 3 現象說明:x是“黑+黑”節點,x的兄弟節點是黑色;x的兄弟節點的左孩子是紅色,右孩子是黑色的。
Case 3 處理策略:
(01) 將x兄弟節點的左孩子設為“黑色”。
(02) 將x兄弟節點設為“紅色”。
(03) 對x的兄弟節點進行右旋。
(04) 右旋后,重新設置x的兄弟節點。
下面談談為什么要這樣處理。(建議理解的時候,通過下面的圖進行對比)
我們處理“Case 3”的目的是為了將“Case 3”進行轉換,轉換成“Case 4”,從而進行進一步的處理。轉換的方式是對x的兄弟節點進行右旋;為了保證右旋后,它仍然是紅黑樹,就需要在右旋前“將x的兄弟節點的左孩子設為黑色”,同時“將x的兄弟節點設為紅色”;右旋后,由于x的兄弟節點發生了變化,需要更新x的兄弟節點,從而進行后續處理。
Case 3 處理前[當前節點是A]:

Case 3 處理后:
Case 4
Case 4 現象說明:x是“黑+黑”節點,x的兄弟節點是黑色;x的兄弟節點的左孩子是紅色,右孩子是黑色的。
Case 4 現象說明:x是“黑+黑”節點,x的兄弟節點是黑色;x的兄弟節點的右孩子是紅色的。
Case 4 處理策略:
(01) 將x父節點顏色 賦值給 x的兄弟節點。
(02) 將x父節點設為“黑色”。
(03) 將x兄弟節點的右子節設為“黑色”。
(04) 對x的父節點進行左旋。
(05) 設置“x”為“根節點”。
下面談談為什么要這樣處理。(建議理解的時候,通過下面的圖進行對比)
我們處理“Case 4”的目的是:去掉x中額外的黑色,將x變成單獨的黑色。處理的方式是“:進行顏色修改,然后對x的父節點進行左旋。下面,我們來分析是如何實現的。
為了便于說明,我們設置“當前節點”為S(Original Son),“兄弟節點”為B(Brother),“兄弟節點的左孩子”為BLS(Brother's Left Son),“兄弟節點的右孩子”為BRS(Brother's Right Son),“父節點”為F(Father)。
我們要對F進行左旋。但在左旋前,我們需要調換F和B的顏色,并設置BRS為黑色。為什么需要這里處理呢?因為左旋后,F和BLS是父子關系,而我們已知BL是紅色,如果F是紅色,則違背了“特性(4)”;為了解決這一問題,我們將“F設置為黑色”。 但是,F設置為黑色之后,為了保證滿足“特性(5)”,即為了保證左旋之后:
第一,“同時經過根節點和S的分支的黑色節點個數不變”。
若滿足“第一”,只需要S丟棄它多余的顏色即可。因為S的顏色是“黑+黑”,而左旋后“同時經過根節點和S的分支的黑色節點個數”增加了1;現在,只需將S由“黑+黑”變成單獨的“黑”節點,即可滿足“第一”。
第二,“同時經過根節點和BLS的分支的黑色節點數不變”。
若滿足“第二”,只需要將“F的原始顏色”賦值給B即可。之前,我們已經將“F設置為黑色”(即,將B的顏色"黑色",賦值給了F)。至此,我們算是調換了F和B的顏色。
第三,“同時經過根節點和BRS的分支的黑色節點數不變”。
在“第二”已經滿足的情況下,若要滿足“第三”,只需要將BRS設置為“黑色”即可。
經過,上面的處理之后。紅黑樹的特性全部得到的滿足!接著,我們將x設為根節點,就可以跳出while循環(參考偽代碼);即完成了全部處理。
至此,我們就完成了Case 4的處理。理解Case 4的核心,是了解如何“去掉當前節點額外的黑色”。
Case 4 處理前[當前節點是A]:

Case 4 處理后:
OK!至此,紅黑樹的理論知識差不多講完了。后續再更新紅黑樹的實現代碼!
參考文獻
1, 《算法導論》
2, 教你透徹了解紅黑樹